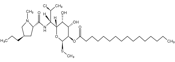
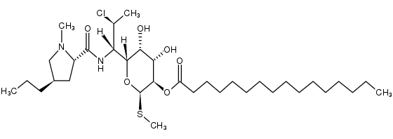
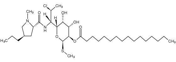
| CLINDAMYCIN (is an active metabolite) 
| CLINDAMYCIN | ATC D10AF01 ATC G01AA10 ATC J01FF01 ATC D10AF51
ANTIINFECTIVES ANTIBIOTIC ANTIBACTERIAL PROTEIN SYNTHESIS INHIBITORS ANTIMALARIALS | ORAL | Cmax 5.89 MICROMOLAR (150 MILLIGRAM) VD 51.3 LITER (65 KILOGRAM) PPB 94 PERCENT Cl 17.5 LITER / HOUR (65 KILOGRAM) HT 2.4 HOUR | 50S RIBOSOMAL SUBUNIT PDB 3JZ0 (LINB COMPLEXED WITH CLINDAMYCIN AND AMPCPP) LIGAND CODE = CLY (link to the list of PDB complexes) Download experimental 3D coordinates of CLY with added hydrogens | Large ribosomal subunit protein uL10 UNIPROT P15825 rpl10 more at DrugCentral | EMA ANSM (in French) Inxight Drugs Dailymed Drugs.com VigiAccess SIDER side effects Chemical Probes Portal ChEMBL BindingDB DrugBank |