| TENOFOVIR (is an active metabolite) 
| TENOFOVIR | ATC J05AR06 ATC J05AR08 ATC J05AR12 ATC J05AR27 ATC J05AR24 ATC J05AR11 ATC J05AF07 ATC J05AR03
ANTIINFECTIVE ANTIVIRAL ANTIRETROVIRAL NUCLEOTIDE ANALOG HIV-1 REVERSE TRANSCRIPTASE INHIBITOR AND HBV REVERSE TRANSCRIPTASE INHIBITOR CHRONIC HEPATITIS B IN ADULTS | - | Cmax 0.578 MICROMOLAR (300 MILLIGRAM) F 25 PERCENT VD 84.5 LITER (65 KILOGRAM) PPB 7 PERCENT Cl 3.4 LITER / HOUR (EQN) HT 17 HOUR | HIV REVERSE TRANSCRIPTASE PDB 8BVS (CRYO-EM STRUCTURE OF RAT SLC22A6 BOUND TO TENOFOVIR) LIGAND CODE = TFO (link to the list of PDB complexes) Download experimental 3D coordinates of TFO with added hydrogens | Reverse transcriptase,RNaseH UNIPROT Q72547 pol more at DrugCentral | EMA ANSM (in French) Inxight Drugs Dailymed Drugs.com VigiAccess SIDER side effects Chemical Probes Portal ChEMBL BindingDB DrugBank |
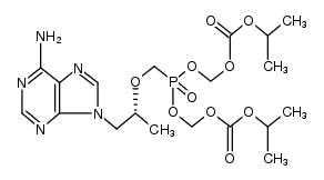
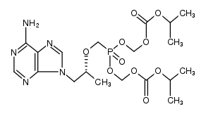
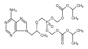
| TENOFOVIR DISOPROXIL (has an active metabolite) 
| TENOFOVIR DISOPROXIL | ATC J05AR06 ATC J05AR08 ATC J05AR12 ATC J05AR27 ATC J05AR24 ATC J05AR11 ATC J05AF07 ATC J05AR03
ANTIINFECTIVE ANTIVIRAL ANTIRETROVIRAL NUCLEOTIDE ANALOG HIV-1 REVERSE TRANSCRIPTASE INHIBITOR AND HBV REVERSE TRANSCRIPTASE INHIBITOR CHRONIC HEPATITIS B IN ADULTS | ORAL | SOLUBILITY 13.4 MILLIGRAM / MILLILITER | HIV REVERSE TRANSCRIPTASE | Reverse transcriptase,RNaseH UNIPROT Q72547 pol more at DrugCentral | EMA ANSM (in French) Inxight Drugs Dailymed Drugs.com VigiAccess SIDER side effects Chemical Probes Portal ChEMBL BindingDB DrugBank |