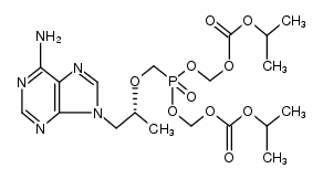
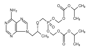
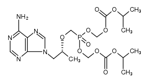
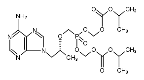
| TENOFOVIR DISOPROXIL (has an active metabolite) 
| TENOFOVIR DISOPROXIL | ATC J05AR06 ATC J05AR08 ATC J05AR12 ATC J05AR27 ATC J05AR24 ATC J05AR11 ATC J05AF07 ATC J05AR03
ANTIINFECTIVE ANTIVIRAL ANTIRETROVIRAL NUCLEOTIDE ANALOG HIV-1 REVERSE TRANSCRIPTASE INHIBITOR AND HBV REVERSE TRANSCRIPTASE INHIBITOR CHRONIC HEPATITIS B IN ADULTS | ORAL | SOLUBILITY 13.4 MILLIGRAM / MILLILITER | HIV REVERSE TRANSCRIPTASE | Reverse transcriptase,RNaseH UNIPROT Q72547 pol more at DrugCentral | EMA ANSM (in French) Inxight Drugs Dailymed Drugs.com VigiAccess SIDER side effects Chemical Probes Portal ChEMBL BindingDB DrugBank |