Cheminformatic Tools and Databases for Pharmacology

Total of 2 hits - Display   hits per page:

Add another drug(s) by one keyword:
Exemple: “nib“ and click on the Search button (do not press Enter on the keyboard)

1 INNClassRoute (list)PK parameters= Cmax; Tmax; F: bioavailability; t1/2: half-life; VD: volume of distribution; Cl: clearance; PPB: plasma protein binding;(EQN means that the equation t1/2 = VD / Cl * 0.693 was usedPrimary Target and PDB code of Protein-Drug complexTargets from DrugCentral Links
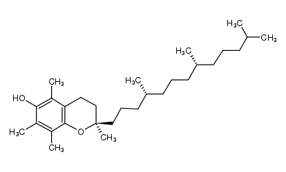
ALPHA-TOCOPHEROL (is an active metabolite)

ALPHA-TOCOPHEROL
VITAMIN E
TOCOPHEROL
NATURAL MOLECULE (link)


ATC A11HA03

METABOLISM
ANTIOXIDANTS
VITAMINS
PROTECTS AGAINST FREE RADICAL DAMAGE

INJECTION INTRAVENOUS ALPHA-TOCOPHEROL TRANSFER PROTEIN (ALPHA-TTP) (PMID24231105)

PDB 5MUG (SELF-ASSEMBLED ALPHA-TOCOPHEROL TRANSFER PROTEIN NANOPARTICLES PROMOTE VITAMIN E DELIVERY ACROSS AN ENDOTHELIAL BARRIER)

LIGAND CODE = VIV (link to the list of PDB complexes)

Download experimental 3D coordinates of VIV with added hydrogens

Glutathione S-transferase P UNIPROT P09211 -- Alpha-tocopherol transfer protein UNIPROT P49638

more at DrugCentral

EMA

ANSM (in French)

Inxight Drugs
Dailymed
Drugs.com

VigiAccess
SIDER side effects

Chemical Probes Portal

ChEMBL
BindingDB
DrugBank

2 INNClassRoute (list)PK parameters= Cmax; Tmax; F: bioavailability; t1/2: half-life; VD: volume of distribution; Cl: clearance; PPB: plasma protein binding;(EQN means that the equation t1/2 = VD / Cl * 0.693 was usedPrimary Target and PDB code of Protein-Drug complexTargets from DrugCentral Links
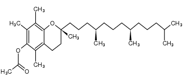
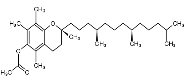
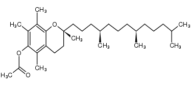
ALPHA-TOCOPHEROL ACETATE (has an active metabolite)

ALPHA-TOCOPHEROL ACETATE
TOCOPHEROL ACETATE


ATC A11HA03

METABOLISM
SUPPLEMENT
ANTIOXIDANT
VITAMIN E

INTRAVENOUS ALPHA-TOCOPHEROL TRANSFER PROTEIN (ALPHA-TTP) (PMID24231105)

Unknown

more at DrugCentral

EMA

ANSM (in French)

Inxight Drugs
Dailymed
Drugs.com

VigiAccess
SIDER side effects

Chemical Probes Portal

ChEMBL
BindingDB
DrugBank



Copyright © 2019 Université Côte d'Azur CNRS - All rights reserved
  | Contact |