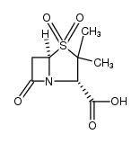
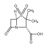
| SULBACTAM 
| SULBACTAM | ATC J01CG01
ANTIINFECTIVES ANTIBIOTIC ANTIBACTERIAL BETA-LACTAMASE INHIBITORS | INJECTION INTRAVENOUS | Cmax 871 MICROMOLAR (446 MICROGRAM / KILOGRAM) VD 20.8 LITER (65 KILOGRAM) PPB 38 PERCENT Cl 19.8 LITER / HOUR (65 KILOGRAM) HT 1 HOUR SOLUBILITY FREELY SOLUBLE IN WATER | BETA-LACTAMASE PDB 4FH2 (STRUCTURE OF S70C BETA-LACTAMASE BOUND TO SULBACTAM) LIGAND CODE = 0RN (link to the list of PDB complexes) Download experimental 3D coordinates of 0RN with added hydrogens | Beta-lactamase TEM UNIPROT P62593 bla more at DrugCentral | EMA ANSM (in French) Inxight Drugs Dailymed Drugs.com VigiAccess SIDER side effects Chemical Probes Portal ChEMBL BindingDB DrugBank |