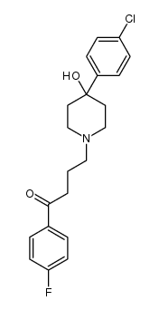
| HALOPERIDOL (is an active metabolite) 
| HALOPERIDOL | ATC N05AD01
NERVOUS SYSTEM ANTIPSYCHOTIC TREATMENT OF SCHIZOPHRENIA ANTIDYSKINETICS DOPAMINE ANTAGONISTS A BUTYROPHENONE NEUROLEPTIC AGENT | ORAL INJECTION | Cmax 15.3 NANOMOLAR Tmax 4 HOUR F 60 PERCENT VD 1105 LITER (65 KILOGRAM) PPB 92 PERCENT Cl 30.4 LITER / HOUR (65 KILOGRAM) HT 35 HOUR | D(1A) DOPAMINE RECEPTOR D(2) DOPAMINE RECEPTOR PDB 6DJZ (HUMAN SIGMA-1 RECEPTOR BOUND TO HALOPERIDOL) LIGAND CODE = GMJ (link to the list of PDB complexes) Download experimental 3D coordinates of GMJ with added hydrogens | D(2) dopamine receptor UNIPROT P14416 DRD2 more at DrugCentral | EMA ANSM (in French) Inxight Drugs Dailymed Drugs.com VigiAccess SIDER side effects Chemical Probes Portal ChEMBL BindingDB DrugBank |
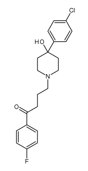
| HALOPERIDOL LACTATE (has an active metabolite) 
| HALOPERIDOL LACTATE | ATC N05AD01
NERVOUS SYSTEM ANTIDYSKINETICS ANTIEMETICS ANTIPSYCHOTIC AGENTS BUTYROPHENONES DOPAMINE ANTAGONISTS | ORAL INJECTION | | D(1A) DOPAMINE RECEPTOR D(2) DOPAMINE RECEPTOR | D(2) dopamine receptor UNIPROT P14416 DRD2 more at DrugCentral | EMA ANSM (in French) Inxight Drugs Dailymed Drugs.com VigiAccess SIDER side effects Chemical Probes Portal ChEMBL BindingDB DrugBank |