Cheminformatic Tools and Databases for Pharmacology

session 81253 - Total of 1 hits - Display   hits per page:

Add another drug(s) by one keyword:
Exemple: “nib“ and click on the Search button (do not press Enter on the keyboard)

1 INNClassRoute (list)PK parameters= Cmax; Tmax; F: bioavailability; t1/2: half-life; VD: volume of distribution; Cl: clearance; PPB: plasma protein binding;(EQN means that the equation t1/2 = VD / Cl * 0.693 was usedPrimary Target and PDB code of Protein-Drug complexTargets from DrugCentral Links
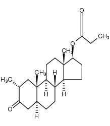
DROMOSTANOLONE PROPIONATE DISCONTINUED

DROMOSTANOLONE PROPIONATE

ANTINEOPLASTIC (PMID5067664)
ANABOLIC AGENTS

INJECTION ANDROGEN RECEPTOR

Androgen receptor UNIPROT P10275 AR

more at DrugCentral

EMA

ANSM (in French)

Inxight Drugs
Dailymed
Drugs.com

VigiAccess
SIDER side effects

Chemical Probes Portal

ChEMBL
BindingDB
DrugBank



Copyright © 2019 Université Côte d'Azur CNRS - All rights reserved
  | Contact |