Cheminformatic Tools and Databases for Pharmacology

session 69877 - Total of 2 hits - Display   hits per page:

Add another drug(s) by one keyword:
Exemple: “nib“ and click on the Search button (do not press Enter on the keyboard)

1 INNClassRoute (list)PK parameters= Cmax; Tmax; F: bioavailability; t1/2: half-life; VD: volume of distribution; Cl: clearance; PPB: plasma protein binding;(EQN means that the equation t1/2 = VD / Cl * 0.693 was usedPrimary Target and PDB code of Protein-Drug complexTargets from DrugCentral Links
BETAMETHASONE DISCONTINUED (is an active metabolite)

BETAMETHASONE


ATC A07EA04
ATC C05AA05
ATC D07AC01
ATC D07XC01
ATC H02AB01
ATC R01AD06
ATC R03BA04
ATC S01BA06
ATC S01CB04
ATC S02BA07
ATC S03BA03
ATC D07CC01
ATC S01CA05
ATC S03CA06
ATC D07BC01
ATC S01BB04

DERMATOLOGICALS
GLUCOCORTICOID
ANTIPSORIATIC
ANTIINFLAMMATORY
CORTICOSTEROID
ANTIPRURITIC
VASOCONSTRICTIVE PROPERTIES

ORAL TOPICAL

VD 84.5 LITER (65 KILOGRAM)

PPB 64 PERCENT

Cl 10.9 LITER / HOUR (65 KILOGRAM)

HT 5.6 HOUR

GLUCOCORTICOID RECEPTOR

Glucocorticoid receptor UNIPROT P04150 NR3C1

more at DrugCentral

EMA

ANSM (in French)

Inxight Drugs
Dailymed
Drugs.com

VigiAccess
SIDER side effects

Chemical Probes Portal

ChEMBL
BindingDB
DrugBank

2 INNClassRoute (list)PK parameters= Cmax; Tmax; F: bioavailability; t1/2: half-life; VD: volume of distribution; Cl: clearance; PPB: plasma protein binding;(EQN means that the equation t1/2 = VD / Cl * 0.693 was usedPrimary Target and PDB code of Protein-Drug complexTargets from DrugCentral Links
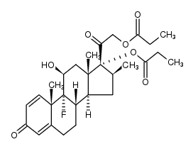
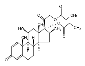
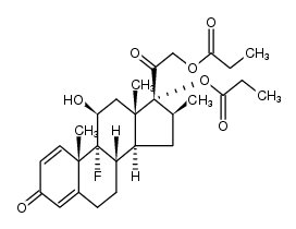
BETAMETHASONE DIPROPIONATE (has an active metabolite)

BETAMETHASONE DIPROPIONATE


ATC A07EA04
ATC C05AA05
ATC D07AC01
ATC D07XC01
ATC H02AB01
ATC R01AD06
ATC R03BA04
ATC S01BA06
ATC S01CB04
ATC S02BA07
ATC S03BA03
ATC D07CC01
ATC S01CA05
ATC S03CA06
ATC D07BC01
ATC S01BB04

DERMATOLOGICALS
GLUCOCORTICOID
CORTICOSTEROIDS
AGONIST
PSORIASIS VULGARIS

TOPICAL

SOLUBILITY INSOLUBLE IN WATER

GLUCOCORTICOID RECEPTOR

Glucocorticoid receptor UNIPROT P04150 NR3C1

more at DrugCentral

EMA

ANSM (in French)

Inxight Drugs
Dailymed
Drugs.com

VigiAccess
SIDER side effects

Chemical Probes Portal

ChEMBL
BindingDB
DrugBank



Copyright © 2019 Université Côte d'Azur CNRS - All rights reserved
  | Contact |