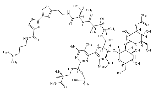
| BLEOMYCIN 
| BLEOMYCIN | NATURAL MOLECULE (link) ATC L01DC01
ANTINEOPLASTIC CYTOTOXIC GLYCOPEPTIDE ANTIBIOTICS ISOLATED FROM A STRAIN OF STREPTOMYCES VERTICILLUS SEQUENCE SELECTIVE CLEAVAGE OF DNA (PMID25187079) | INJECTION | F 72.5 PERCENT VD 30.2 LITER Cl 5.2 LITER / HOUR HT 2 HOUR SOLUBILITY FREELY SOLUBLE IN WATER | DNA PDB 1JIE (BLEOMYCIN-BINDING PROTEIN FROM BLEOMYCIN-PRODUCING STREPTOMYCES VERTICILLUS) LIGAND CODE = BLM (link to the list of PDB complexes) Download experimental 3D coordinates of BLM with added hydrogens | Unknown more at DrugCentral | EMA ANSM (in French) Inxight Drugs Dailymed Drugs.com VigiAccess SIDER side effects Chemical Probes Portal ChEMBL BindingDB DrugBank |