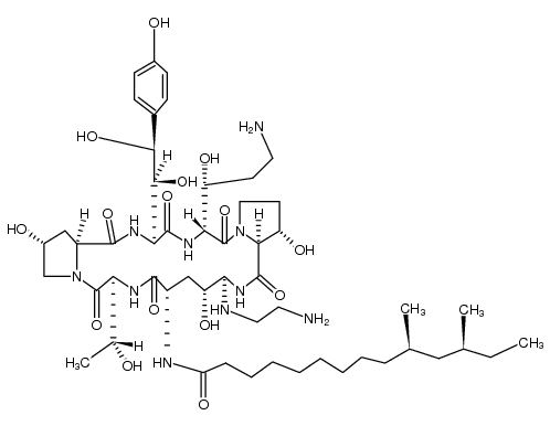
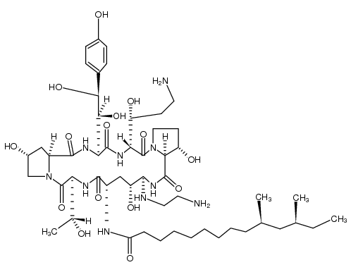
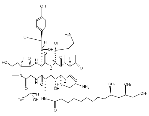
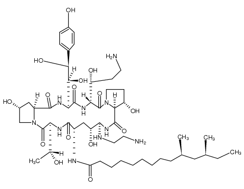
| CASPOFUNGIN 
| CASPOFUNGIN | ATC J02AX04
ANTIINFECTIVES ECHINOCANDIN ANTIFUNGAL INHIBITOR | INTRAVENOUS | VD 8.45 LITER (65 KILOGRAM) PPB 97 PERCENT Cl 0.72 LITER / HOUR HT 27 HOUR SOLUBILITY FREELY SOLUBLE IN WATER | BETA-1,3-GLUCAN SYNTHASE | Beta-1,3-glucan synthase catalytic subunit 1 UNIPROT O13428 GSC1 -- 1,3-beta-glucan synthase catalytic subunit FksP UNIPROT Q4WLT4 more at DrugCentral | EMA ANSM (in French) Inxight Drugs Dailymed Drugs.com VigiAccess SIDER side effects Chemical Probes Portal ChEMBL BindingDB DrugBank |