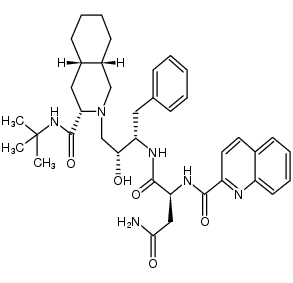
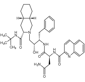
| SAQUINAVIR DISCONTINUED 
| SAQUINAVIR | ATC J05AE01
ANTIINFECTIVES ANTIVIRAL HIV PROTEASE INHIBITORS | ORAL | F 4 PERCENT VD 700 LITER (12 MILLIGRAM) PPB 98 PERCENT Cl 74.1 LITER / HOUR (65 KILOGRAM) HT 7 HOUR SOLUBILITY 2.22 MILLIGRAM PER MILLILITER | HIV-1 PROTEASE (IC50= 37 NANOMOLAR) PDB 3D1Y (CRYSTAL STRUCTURE OF HIV-1 MUTANT I54V AND INHIBITOR SAQUINA) LIGAND CODE = ROC (link to the list of PDB complexes) Download experimental 3D coordinates of ROC with added hydrogens | Pol polyprotein UNIPROT Q72874 pol more at DrugCentral | EMA ANSM (in French) Inxight Drugs Dailymed Drugs.com VigiAccess SIDER side effects Chemical Probes Portal ChEMBL BindingDB DrugBank |