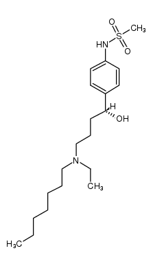
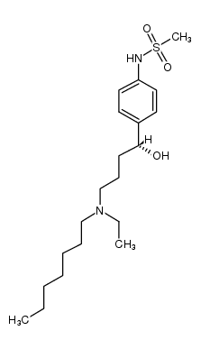
| IBUTILIDE 
| IBUTILIDE | ATC C01BD05
CARDIOVASCULAR ANTIARRHYTHMIC CHANNEL BLOCKER | INJECTION | VD 715 LITER (65 KILOGRAM) PPB 40 PERCENT Cl 110 LITER / HOUR (65 KILOGRAM) HT 8 HOUR SOLUBILITY 100 MILLIGRAM / MILLILITER | POTASSIUM CHANNEL | Unknown more at DrugCentral | EMA ANSM (in French) Inxight Drugs Dailymed Drugs.com VigiAccess SIDER side effects Chemical Probes Portal ChEMBL BindingDB DrugBank |