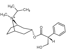
| IPRATROPIUM 
| IPRATROPIUM | ATC R03AL01 ATC R01AX03 ATC R03BB01 ATC R03AL02
RESPIRATORY BRONCHODILATOR ANTICHOLINERGIC (PARASYMPATHOLYTIC) CHOLINERGIC ANTAGONISTS | INHALATION NASAL | Cmax NOT DETECTABLE F 3 PERCENT PPB 9 PERCENT Cl 0.15 LITER / HOUR HT 2 HOUR SOLUBILITY FREELY SOLUBLE IN WATER | MUSCARINIC RECEPTOR PDB 2X8M (CRYSTAL STRUCTURE OF CBPF IN COMPLEX WITH IPRATROPIUM BY SOAKING) LIGAND CODE = X8M (link to the list of PDB complexes) Download experimental 3D coordinates of X8M with added hydrogens | Muscarinic acetylcholine receptor M3 UNIPROT P20309 CHRM3 more at DrugCentral | EMA ANSM (in French) Inxight Drugs Dailymed Drugs.com VigiAccess SIDER side effects Chemical Probes Portal ChEMBL BindingDB DrugBank |