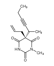
METHOHEXITAL 
| METHOHEXITAL | ATC N01AF01 ATC N05CA15
NERVOUS SYSTEM HYPNOTIC ANXIOLYTIC ANESTHETIC BARBITURATES GABA ALLOSTERIC MODULATOR | INJECTION | Cmax 30 MICROMOLAR VD 71.5 LITER (65 KILOGRAM) PPB 73 PERCENT Cl 46 LITER / HOUR (65 KILOGRAM) HT 1.6 HOUR SOLUBILITY FREELY SOLUBLE IN WATER | GAMMA-AMINOBUTYRIC-ACID RECEPTOR SUBUNIT ALPHA-1 | GABA-A receptor alpha-1,beta-3,gamma-2 UNIPROT P14867 GABRA1 more at DrugCentral | EMA ANSM (in French) Inxight Drugs Dailymed Drugs.com VigiAccess SIDER side effects Chemical Probes Portal ChEMBL BindingDB DrugBank |