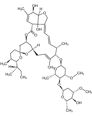
| IVERMECTIN 
| IVERMECTIN | ATC D11AX22 ATC P02CF01
ANTIPARASITIC ANTHELMINTICS ANTINEMATODAL AGENTS ANTIPROTOZOAL AGENTS INCREASE THE PERMEABILITY OF THE CELL MEMBRANE TO CHLORIDE IONS WITH HYPERPOLARIZATION BUT DOES NOT READILY CROSS THE BLOOD-BRAIN BARRIER IN HUMANS BINDS GLYCINE RECEPTOR | ORAL TOPICAL | Cmax 53 NANOMOLAR Tmax 4 HOUR PPB 99 PERCENT HT 18 HOUR SOLUBILITY INSOLUBLE IN WATER | GLYCINE RECEPTOR (GLYR) GLUTAMATE-GATED CHLORIDE CHANNEL GABA RECEPTOR NS3 HELICASE (PMID22535622) PDB 3JAF (DANIO RERIO ALPHA-1 GLYCINE RECEPTOR BY CRYO-EM) LIGAND CODE = IVM (link to the list of PDB complexes) Download experimental 3D coordinates of IVM with added hydrogens | Glutamate-gated chloride channel UNIPROT P91730 -- Glutamate-gated chloride channel UNIPROT Q25634 GluClX more at DrugCentral | EMA ANSM (in French) Inxight Drugs Dailymed Drugs.com VigiAccess SIDER side effects Chemical Probes Portal ChEMBL BindingDB DrugBank |