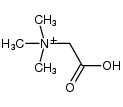
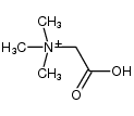
| BETAINE 
| BETAINE | ATC A16AA06 ATC A09AB02
METABOLISM NUTRIENT ANTIARTERIOSCLEROTIC HYPOLIPAEMIC HEPATOPROTECTANT TREATMENT OF HOMOCYSTINURIA TO DECREASE ELEVATED HOMOCYSTEINE ACTS AS A METHYL GROUP DONOR IN THE REMETHYLATION OF HOMOCYSTEINE TO METHIONINE IN PATIENTS WITH HOMOCYSTINURIA BLOOD LEVELS | ORAL | SOLUBILITY SOLUBLE IN WATER | PDB 5C2W (KUENENIA STUTTGARTIENSIS HYDRAZINE SYNTHASE PRESSURIZED WITH 20 BAR XENON) LIGAND CODE = BET (link to the list of PDB complexes) Download experimental 3D coordinates of BET with added hydrogens | Unknown more at DrugCentral | EMA ANSM (in French) Inxight Drugs Dailymed Drugs.com VigiAccess SIDER side effects Chemical Probes Portal ChEMBL BindingDB DrugBank |