| TIROFIBAN 
| TIROFIBAN | ATC B01AC17
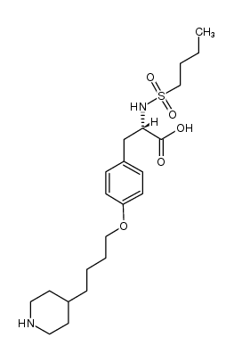
BLOOD PLATELET AGGREGATION INHIBITOR ANTITHROMBOTIC ANTIANGINAL FIBRINOLYTIC AGENTS | INJECTION INTRAVENOUS | VD 32 LITER PPB 65 PERCENT Cl 15.8 LITER / HOUR HT 2 HOUR SOLUBILITY VERY SLIGHTLY SOLUBLE IN WATER | PLATELET GLYCOPROTEIN (PG) IIB/IIIA PDB 2VDM (RE-REFINEMENT OF INTEGRIN ALPHAIIBBETA3 HEADPIECE BOUND TO ANTAGONIST TIROFIBAN) LIGAND CODE = AGG (link to the list of PDB complexes) Download experimental 3D coordinates of AGG with added hydrogens | Integrin alpha-IIb,beta-3 UNIPROT P05106 ITGB3 more at DrugCentral | EMA ANSM (in French) Inxight Drugs Dailymed Drugs.com VigiAccess SIDER side effects Chemical Probes Portal ChEMBL BindingDB DrugBank |