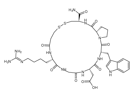
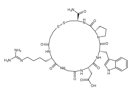
| EPTIFIBATIDE 
| EPTIFIBATIDE | ATC B01AC16
BLOOD ANTICOAGULANTS ANTIPLATELET AGENTS PLATELET AGGREGATION INHIBITORS | INJECTION | VD 11.05 LITER (65 KILOGRAM) PPB 25 PERCENT Cl 4.6 LITER / HOUR (65 KILOGRAM) HT 4.2 HOUR | PLATELET RECEPTOR GLYCOPROTEIN IIB/IIIA | Integrin alpha-IIb,beta-3 UNIPROT P05106 ITGB3 more at DrugCentral | EMA ANSM (in French) Inxight Drugs Dailymed Drugs.com VigiAccess SIDER side effects Chemical Probes Portal ChEMBL BindingDB DrugBank |