| DALBAVANCIN 
| DALBAVANCIN | ATC J01XA04
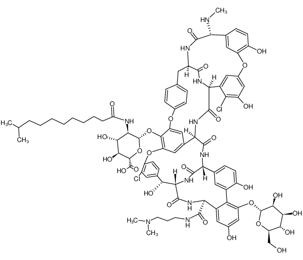
ANTIINFECTIVES TREATMENT OF FOR ACUTE BACTERIAL SKIN AND SKIN STRUCTURE INFECTIONS LIPOGLYCOPEPTIDE SYNTHESIZED FROM A FERMENTATION PRODUCT OF NONOMURAEA SPECIES A MIXTURE OF FIVE CLOSELY RELATED ACTIVE HOMOLOGS (A0, A1, B0, B1 AND B2) B0 IS THE MAJOR COMPONENT OF DALBAVANCIN INTERFERES WITH CELL WALL SYNTHESIS BY BINDING TO THE D-ALANYL-D-ALANINE TERMINUS OF THE STEM PENTAPEPTIDE IN NASCENT CELL WALL PEPTIDOGLYCAN | INTRAVENOUS | Cmax 158 MICROMOLAR (1000 MILLIGRAM) PPB 93 PERCENT Cl 0.0513 LITER / HOUR HT 346 HOUR | PEPTIDOGLYCAN PRECURSORS PDB 3RUL (A CARRIER PROTEIN STRATEGY YIELDS THE STRUCTURE OF DALBAVANCIN) | Unknown more at DrugCentral | EMA ANSM (in French) Inxight Drugs Dailymed Drugs.com VigiAccess SIDER side effects Chemical Probes Portal ChEMBL BindingDB DrugBank |