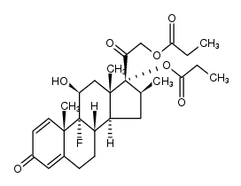
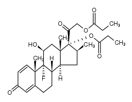
| BETAMETHASONE DIPROPIONATE (has an active metabolite) 
| BETAMETHASONE DIPROPIONATE | ATC A07EA04 ATC C05AA05 ATC D07AC01 ATC D07XC01 ATC H02AB01 ATC R01AD06 ATC R03BA04 ATC S01BA06 ATC S01CB04 ATC S02BA07 ATC S03BA03 ATC D07CC01 ATC S01CA05 ATC S03CA06 ATC D07BC01 ATC S01BB04
DERMATOLOGICALS GLUCOCORTICOID CORTICOSTEROIDS AGONIST PSORIASIS VULGARIS | TOPICAL | SOLUBILITY INSOLUBLE IN WATER | GLUCOCORTICOID RECEPTOR | Glucocorticoid receptor UNIPROT P04150 NR3C1 more at DrugCentral | EMA ANSM (in French) Inxight Drugs Dailymed Drugs.com VigiAccess SIDER side effects Chemical Probes Portal ChEMBL BindingDB DrugBank |