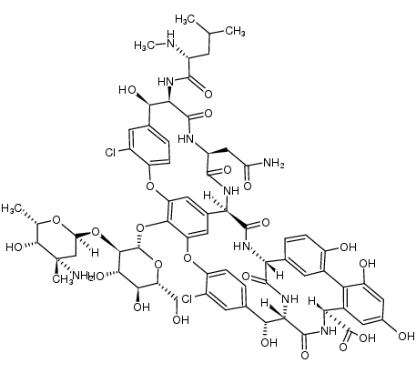
| VANCOMYCIN 
| VANCOMYCIN | ATC A07AA09 ATC J01XA01 ATC S01AA28
ANTIINFECTIVES MACROLIDE GLYCOPEPTIDE ANTIBACTERIALS ANTIBACTERIAL ANTIBIOTIC INHIBITION OF CELL-WALL BIOSYNTHESIS | ORAL INTRAVENOUS INJECTION | Cmax 0.45 MICROMOLAR F POORLY ABSORBED VD 35.1 LITER (65 KILOGRAM) PPB 30 PERCENT Cl 5.07 LITER / HOUR (65 KILOGRAM) HT 6.5 HOUR | DNA PDB 1PNV (TDP-EPI-VANCOSAMINYLTRANSFERASE GTFA FROM AMYCOLATOPSIS ORIENTALIS) | Unknown more at DrugCentral | EMA ANSM (in French) Inxight Drugs Dailymed Drugs.com VigiAccess SIDER side effects Chemical Probes Portal ChEMBL BindingDB DrugBank |